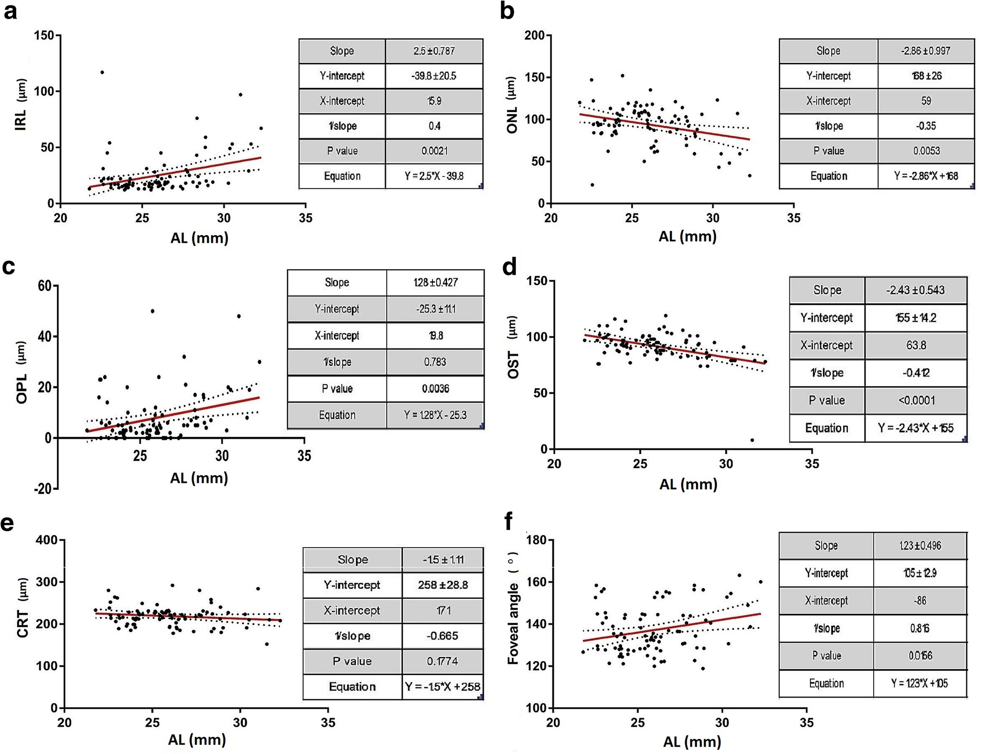
Fig. 4

Correlation between retinal structure and axial length. a-f Multivariable linear regression analysis between macular retinal layer thicknesses (in μm) [inner retinal layer (IRL), outer nuclear layer (ONL), outer plexiform layer (OPL), outer segment thickness (OST), central retinal thickness (CRT)] and foveal angle (in °) and axial length (AL) (in mm). Linear regressions are shown with 95% confidence intervals for slopes